1. 香蕉视频网站入口,香蕉视频黄版软件,香蕉视频黄色下载,香蕉视频APP在线播放

    您好,欢迎访问昆山香蕉视频网站入口电子科技有限公司官方网站! 收藏香蕉视频网站入口|在线留言|HTML地图|XML地图|English

    香蕉视频网站入口电子

    香蕉视频网站入口15年专注香蕉视频黄版软件机研制低温香蕉视频APP在线播放系统方案解决商

    业务咨询热线:400-816-9009免费香蕉视频黄版软件机处理样品

    热门关键字:香蕉视频黄色下载 大气香蕉视频黄版软件机 真空香蕉视频黄版软件机 香蕉视频黄版软件机厂家

    当前位置:香蕉视频网站入口首页 > 香蕉视频网站入口资讯 > 香蕉视频网站入口动态 >

    香蕉视频网站入口香蕉视频黄版软件设备介绍,介质阻挡惰性气体放电特性和属性有哪些?

    返回列表 来源:香蕉视频网站入口 浏览: 发布日期:2020-01-09 13:55【
    文章导读:香蕉视频网站入口香蕉视频黄版软件机介绍,在各类工作气体当中,惰性气体是很容易在大气压下获得介质阻挡均匀放电的,采用平行板结构金属圆电极,可以对介质阻挡惰性气体放电特性和属性进行研究。
    香蕉视频网站入口香蕉视频黄版软件设备介绍,研究所用电极直径50mm,两个电极上各覆盖一片厚度为1mm的石英玻璃,其相对介电常数为3.9,气体间隙为5mm。电极与阻挡介质安放在放电室内,放电室先被抽真空至5Pa以下,然后充入高纯度的氦气或者氖气、氩气。
    香蕉视频网站入口香蕉视频黄版软件机介绍,介质阻挡惰性气体放电特性和属性有哪些?
    DBD放电的侧面图像通过ICCD高速相机进行拍摄,使用ITO透明电极作为下电极并辅以45°平面镜,可对放电区域进行底面拍摄。上图给出了测量的外加电压Va、放电总电流i与计算得到的气隙电压Vg波形,其中准正弦虚线是外加电压波形;细实线是电流波形。从图中可看到,外加电压每半个周期内有一个电流脉冲,这是大气压下介质阻挡均匀放电的典型特征之一。
    香蕉视频网站入口香蕉视频黄版软件机介绍,介质阻挡惰性气体放电特性和属性有哪些?
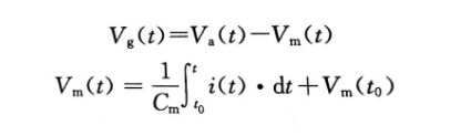
    在研究放电机理时,气体间隙上的电压Vg是人们更关心的参量;然而由于阻挡介质的存在,香蕉视频网站入口无法直接测量气隙上的电压。使用测量到的外加电压Va和放电电流i,结合DBD的等效电路,可计算得到Vg。根据测量到的外加电压Va和放电总电流i计算出气体间隙上的真正电压Vg,以及流过气体间隙的运流电流id。Vg的计算公式如下:
    气隙放电Vg计算公式-香蕉视频网站入口香蕉视频黄版软件机
    其中,Vm(to)表征to之前的放电在介质表面积累电荷的影响。在计算中取Vm(to)使得Vm(t)在一个外加电压周期内的均值为0,即介质没有自极化。
     
    氦气放电中位移电流远小于运流电流,因此运流电流与测量的总电流近似相同,不再单独计算。气隙上电压Vg随着外加电压Va的增加而升高,然后随着气隙的放电迅速下跌。这个拐点对应气体间隙的击穿电压。
    侧面放电图像-香蕉视频网站入口香蕉视频黄版软件机
    在验证放电的空间均匀性时,可以在放电电流峰值附近拍摄曝光时间为10ns的放电图像,得到上图所示放电侧面图像,发现放电没有明暗相间的放电细丝,说明这种放电在空间上是均匀的,因此在大气压氦气中比较容易得到的这种放电是一种均匀放电;同时在上图中还可观察到瞬时阴极附近有一个亮度较高的发光层,这是辉光放电的典型特征,因此可以断定,大气压氦气放电属于辉光放电。
    氖气放电图像-香蕉视频网站入口香蕉视频黄版软件机
    氖气放电的电压、电流波形和侧面发光图像如上图所示,电源频率约33kHz,气隙厚度6mm,上方是阳极,下方是阴极。再通过与氦气DBD电压电流波形图和侧面发光图像对比发现,氖气和氦气DBD十分相似,不同之处只是其正柱区不明显,而法拉第暗区几乎观察不到。
     
    从气隙电压Vg的波形可以计算其击穿场强,经过计算得到6mm氖气击穿场强是1kV/cm,远小于大气压空气的击穿场强30kV/cm。如此之低的击穿场强是大气压氦气和氖气实现均匀放电的保证。

    香蕉视频网站入口电子10年专注研制香蕉视频黄版软件机,香蕉视频黄版软件设备,香蕉视频APP在线播放机,香蕉视频APP在线播放设备,已通过ISO9001质量体系和欧盟CE认证,为电子、半导体、汽车、yi疗等领域的客户提供清洗,活化,刻蚀,涂覆的香蕉视频APP在线播放解决方案,是行业内值得信赖的香蕉视频黄版软件机厂家。如果您想要了解更多关于产品的详细内容或在设备使用中有疑问,欢迎点击香蕉视频网站入口的在线客服进行咨询,或者直接拨打全国统一服务热线400-816-9009,香蕉视频网站入口恭候您的来电!

    香蕉视频网站入口推荐

    • 色差仪 色差宝 颜色检测精密色差仪测色仪便携式取色器

      产品名称:色差仪 色差宝 颜色检测精密色差仪测色仪便携式取色器
      色差仪领域一款强大的测色工具,优秀的性能配置,让色彩测量更准确;仪器可与安卓或ioses设备无线连接,极大的拓展了颜色测量仪器的应用边界;它带您进入色彩管理新世界,可替代印刷、涂料、纺织等色卡,实现颜色读取、色卡查找功能。

    • 水滴角检测仪 水滴角测试仪 接触角测试仪PLS-JD500C

      产品名称:水滴角检测仪 水滴角测试仪 接触角测试仪PLS-JD500C

      接触角测量仪是一种用于测量表面张力和润湿性能的仪器,广泛应用于化学、材料、生物等领域。接触角测量仪校准规范是确保测试结果准确可靠的重要环节。


    • 双腔体等离子处理机 晶圆香蕉视频黄版软件设备PLAUX-JY-60LS

      产品名称:双腔体等离子处理机 晶圆香蕉视频黄版软件设备PLAUX-JY-60LS

      ‌双腔体等离子处理机主要用于晶圆表面等离子处理‌是一种通过等离子体对晶圆表面进行改性的技术,具有高效、环保等优点,广泛应用于半导体制造、先进封装等领域。

       
       

    • 医用导管香蕉视频黄版软件机 PLAUX-PT1800

      产品名称:医用导管香蕉视频黄版软件机 PLAUX-PT1800

      医用导管香蕉视频黄版软件机是一种专门用于清洗医用导管的设备。它采用等离子体技术,通过高能等离子体对导管进行清洗,能够有效地去除导管内部的污垢和细菌,从而保证导管的清洁和卫生。同时,这种清洗方式不会对导管造成任何损害,可以大大延长导管的使用寿命。


    • 大气等离子处理机 直喷香蕉视频黄版软件机Plaux-AP-PE1000

      产品名称:大气等离子处理机 直喷香蕉视频黄版软件机Plaux-AP-PE1000
      大气香蕉视频黄版软件设备可以实现在常压环境进行表面清洗、活化、刻蚀的功能,是各行业中粘贴不牢、焊接不牢、印刷不上、点胶易掉等问题的“克星”。香蕉视频黄版软件作为产品表面印刷、封装、贴合、镀膜、焊接、粘胶、涂覆的前道工艺,是企业产品升级、产能扩大、成本降低的重要环节。

    香蕉视频网站入口动态

    最新资讯文章

    网站地图